机房如何装修施工?主要哪些内容?报价清单有哪些内容?
前几天我们发了关于机房工程的施工方案,有不少朋友问到关于机房如何装修?机房装修主要包括哪些内容?本期我们一起来看下机房如何装修施工的内容。
机房装修主要有哪些内容

一、地面处理
为了铺设电源线及信号线方便,地面采用全钢抗静电的活动地板,其系统电阻应在1×105欧姆至1×108欧姆之间。目前活动地板有铝合金、钢、铝-木、钢-木,尺寸为500×500mm和600×600mm,厚度有20mm、35mm和40mm。活动地板还专门配有带走线口的异形地板。放置活动地板的地面要平整、光滑,水泥地面或水磨石地面均可。机房内切忌铺地毯,一是容易积灰,二是容易产生静电。

另外机房接地:
安全保护接地、直流工作接地、防雷接地分设时,接地电阻值应符合以下规定:
①安全保护接地,接地电阻不应>10Ω;
②直流工作接地,接地电阻不应>4Ω;
③防雷接地,接地电阻不应>10Ω。
采用角钢50×50×5mm,长1.5m~2.5m;角钢与角钢的连接用扁钢,间隔≥4~5m,角钢≥40×4mm;引线采用50mm2多股铜芯绝缘线或按设计规定;引线与扁钢连接采用焊接,焊接点需进行防腐处理;
接地体离通信机房的距离为15m~50m;接地体埋深1m;在腐蚀地带接地极需有防腐措施。通信机房应按均压、等电位的原理,将工作地、保护地和防雷地组成一个联合接地网。


二、天花设计
可以采用国产优质金属微孔天花,白色哑光,内贴吸音纸。
顶棚内有大量的管线以及照明灯具等其它设备。为了美化机房环境,同时也为了吸音及节约空调能耗,一般在原顶棚下加一层吊顶。吊顶材料应满足吸音、防火、防尘、防潮要求及有效地防止电磁波干扰。国内多采用铝合金及轻钢作龙骨,安装吸音铝合金板。
为使铝合金微孔板吊顶在完成后达到平整、不变形的效果,在施工中应杜绝使用镀锌铁丝作为受力吊杆。规范做法:是在铝合金微孔天花主龙骨通过F6或F8钢筋直接固定在钢筋混凝土楼板上。
铝合金微孔天花有F6或F8钢筋作为受力吊杆,其整体刚度及平整度就可以得到基本保证。
铺放式天花便于天面顶部空间设备检修、维护,灯具的维护和更换更加便利。带吸音纸的微孔即可以防尘,又可以在全部硬质表面的机房环境中起到一定的吸音作用。

三、墙身处理
墙面设计可根据实际情况选择不易吸尘、起尘及防火、防潮的材料为宜。目前大多采用铝塑板、彩钢板、防火壁纸及防火板等。

墙面饰面可以为轻钢龙骨铝塑板造型。
铝塑板饰面墙一般采用内衬轻钢龙骨硅酸钙(或石膏板、硅钙板等非易燃板材)作为基底。即可起到保温隔热的作用,又可为表面粘贴铝塑板的平整度打下良好的基础。具有:重量轻、耐侯性佳、耐冲击性、不破碎、易加工和安装、平整性好、高精密度、无共震谐音、隔音性、隔热性、易保养和清洁、烤漆均匀细腻、耐腐蚀、耐粉化、防火性能佳、抗衰变等特点。
四、隔断工程
目前根据需求使用两种隔断:
轻钢龙骨IT板隔断。
玻璃隔断:彩钢钢框的玻璃隔断。
根据功能及需求的不同,机房之间内隔墙分别采用轻钢龙骨IT板隔断和玻璃隔断。房间之间的隔墙(纵墙)一般采用轻钢龙骨IT板隔断。可减少房间之间的干扰。房间与走廊之间的隔墙,例如机房、监控室,一般采用玻璃隔断,可使机房通透明快。

五、门窗工程
机房外门设计可采用定制钢质防火门,玻璃隔断上为钢化玻璃门。主机室、UPS室外窗一律做封窗处理。
计算机机房的冬季保温、夏季隔热以及防凝露等技术问题是计算机机房设计需要考虑的因素,如果机房内外存在较大的温差,而机房的保温处理不当,会造成机房区域两个相邻界面产生凝露。
同时会使机房区域的精密空调的负荷加大,造成能源的浪费。特别是在冬季,由于机房的温湿度是恒定值,此时相对湿度高于室外,机房的内立面墙及天地平面产生凝露,使机房受潮,造成墙立面及天地平面建筑结构造成损坏,而影响机房的洁净度。
界面的凝结水蒸发,也会造成机房内部区域空气含湿增大,给计算机及微电子设备的元器件和线缆插件造成损坏。
因此,为了节约能源,减少日后的运行费用,根据以上分析计算机房相邻界面凝露应按其起因而采取相应的措施来控制平面、立面隔热及热量的散失。因此,较为重要机房的外窗都做封窗处理,主控室、机房外窗做窗帘合。

六、机房的防尘处理
计算机房的洁净度要求是计算机房的一个重要指标,没有一个良好的空气质量,将大大减短计算机的寿命,影响其正常工作。计算机房内的粉尘主要来源有以下几个方面:
1、设备自身产生的,如打印纸屑、粉尘等;
2、人员的活动,如衣服、鞋、文件包等带来的外界尘土;
对于后者只能从管上入手,减少其尘土的带入,同时利用精密空调的自身能力加以消除。同时,对于粉尘的主要来源--建筑本身进行彻底的防制。在进场后对顶、墙、地做彻底清理。加以专用漆进行封闭,从而达到B级或更高的标准。
七、机房内的防鼠处理
为保证机房及设备的运行安全,所有机房与外界连接的管线槽口处均以专用防火泥封堵,新、排风系统与大楼新、排风管道连接设防鼠钢网,从而符合消防规范提出的防范技术要求,并防止虫、鼠进入机房。
八、机房内的等电位处理
机房所在大楼原有防雷接地系统保护了机房免受直击雷的危害,但仍然是有遭受雷电危害的潜在危险。计算机房作为一个重要的网络中心、集中了大量的微电子设备,而这些设备内部结构的高度集成化造成设备耐过电压、过电流的水平下降,对雷电浪涌的承受能力下降。
由于机房所采用的天花、墙面隔板、地板、一般均是金属材料,并组装在一个具有电气闭环特性的钢制龙骨构架上。使机房六个平面的联接成一个完整的金属屏蔽网。
地面接地网、活动地板的钢质支架用编织软铜线相互连接,再与接地汇集排联成一体,由此形成一个等电位的法拉第笼,使机房内的设备免受雷击的侵害。

机房装修工程施工工艺及方法
一、房顶地板防尘漆工程
1、 工艺流程
基层处理→刮腻子补孔→磨平→满刮腻子→磨光→满刮第二遍腻子→磨光→涂刷第一遍防尘漆→磨光→涂刷第二遍防尘漆→清扫。
2、操作工艺
(1)、基层处理:
对不同材料的基层应分别用不同的方法处理,处理后要达到表面平整、干燥、无油污、无浮尘。混凝土或抹灰基层含水率不得大于10%。
(2)、满刮腻子:
刮墙腻子由白乳胶漆、滑石粉或大白粉、2%羧甲基纤维素溶液调配而成,调成比例为1:5:3.5(重量比)。第一遍腻子要求横向刮满,第二遍腻子要求竖向刮抹。要求刮抹平整、均匀、光滑;线角及棱边整齐。满刮时,不漏刮,接头不留槎,不玷污门窗框及其他部位。干透后用砂纸打磨平整。
(3)、磨砂纸:
每道腻子应磨砂纸一遍,每道砂纸要把墙面磨光、磨平、不留浮腻子和刮痕,并将浮尘清扫干净。
(4)、封底漆:
若采用高档乳胶漆,则在第二遍满刮腻子后增加封底漆工序。封底漆可采用滚涂或是喷涂方法施工,施涂时,涂层要均匀,不可漏涂,若封底漆渗入基层较多时,需重涂。
(5)、涂刷乳胶漆。
施工时乳胶漆的涂膜不宜过厚或是过薄。一般以充分盖底、不透虚影、表面均匀为宜。涂刷遍数一般为两遍,必要时可适当增加涂刷遍数。在正常气温条件下,每遍涂料的时间间隔约为4h左右。
(6)、磨光:
第一遍乳胶漆涂刷施工结束4h后,用细砂纸磨光,若天气潮湿,4h后未干,应延长时间,待干燥后再磨。
(7)、清扫:
清扫飞溅的防尘漆,房顶、专墙乳胶漆可采用刷、滚涂施工方式外,还可以采用喷枪进行喷涂。
二、 吊顶工程
1、工艺流程:
放线→安装主龙骨吊杆→安装主龙骨→安装固定联结件→安装骨架→安装金属装饰面板。
2、操作要点:
(1)、放线:
a、根据设计标高沿墙面和柱面弹出吊顶标高线,弹线应清楚,位置准确,水平允许偏差是5mm。
b.根据施工图纸,在结构顶棚上弹出主龙骨位置线并详细标注出吊挂点的位置。
(2)、安装主龙骨吊杆:
a、吊杆的规格应符合设计要求并在安装前做防锈处理。
b、用膨胀螺栓将吊杆固定到结构顶棚上,固定应结实牢固;吊杆间距应满足设计要求,不应大于1200mm。
(3)、主龙骨安装:
a、主龙骨间距应满足设计要求,应小于1200mm。
b、主龙骨安装后,及时校正其位置、标高和起拱高度。
(4)、吊顶骨架的校正与检查:
a、龙骨安装完毕后,全面校正各类龙骨的位置及整体的水平度。
b、检查吊顶骨架,确保牢固可靠。
(5)、吊顶板安装:
吊顶在其他专业的项目施工完毕,隐蔽工程验收合格后,进行吊顶板的安装作业。
(3)质量标准。暗龙骨吊顶工程执行《建筑装饰装修工程质量验收规范》(GB50210)第6.1条和第6.2条的规定。
彩钢板饰面板墙面
1、工艺流程:
放线→龙骨定位→龙骨安装→岩棉的填充→石膏板的安装→彩钢板安装。
2、操作要点:
(1)、去灰、弹水平线
施工前,先将原墙面灰尘扫尽,在墙面弹出水平线。
(2)、定位
根据设计图纸确定彩钢板铺设方向和先后顺序,在墙面进行龙骨定位、分格弹线。
(3)、龙骨安装:
a、龙骨固定件与墙体连接必须牢固,固定件的排布及间距应满足相关技术手册的要求。
b、固定龙骨,龙骨与固定件的连接必须牢固可靠。
c、使用2m的直尺检查龙骨的垂直度,垂直度的偏差应不大于直尺2mm;使用2m的靠尺和塞尺检查龙骨骨架的平整度,平整度的偏差应不大于3mm。
(4)、岩棉的填充
龙骨施工完毕后,在龙骨夹层中铺贴防火岩棉保温层,岩棉保温墙体是由功能分明的墙体结构层、保温层、饰面层三部分组成。
a、岩棉板的安装:
防火不燃玻棉铺贴完毕后检查岩棉板的锚固点、平整度及相连板块之间粘接质量,合格后方可进行下道工作。
b、岩棉板使用前先设计好铺设方式。计算尺寸剪裁下料,剪裁边缘直线误差应小于5mm,拼缝不大于2mm,板与板之间的缝隙用专用胶带粘接。
c、岩棉板铺设自上而下相互联接,岩棉板应按顺序铺设,当遇到门窗洞口时,应符合相关要求。
(5)、彩钢板安装:
a、装条件是墙龙骨与基体之间等其他专业的项目施工完毕,隐蔽工程验收合格。
b、按照有关技术手册安装彩钢板,彩钢板与龙骨的连接必须牢固可靠。
c、质量标准。执行《建筑装饰装修工程质量验收规范》(GB50210)第8.1条和第8.2条规定。
四、玻璃隔断(防火玻璃或钢化玻璃)
1、施工方法:
(1)、玻璃隔断采用80×40方制作钢架,按现场尺寸下料,制作安装,焊接牢固,采用8×80金属膨胀螺栓固定,矫正水平、垂直后,表面刷防锈漆。
(2)、隔断采用12mm铭单片火玻璃,玻璃周边采用白色玻璃胶固定和修饰。
(3)、角钢钢架上部、下部均间隔1000~1500mm采用角钢斜拉支撑,采用8×80金属膨胀螺栓固定。
(4)、专用衬板采用密度板,采用自攻钉固定。
(5)、玻璃隔断下部边框饰面采用拉丝不锈钢板。
2、工艺要求:
(1)、金属结构支架采用焊接或螺丝紧固。要求必须牢固,如焊接不得有松动、虚焊,不得有形状缺陷。
2)、金属结构支架制作完成后,进行检验,检验合格后方可定位安装,并经除去锈斑、焊渣等杂物,涂刷防锈漆(或银粉漆)。
(3)、隔断玻璃垂直方向接缝处均须磨边处理,隔断中部白色玻璃胶不得凸出。
(4)、玻璃隔断边框饰面必须粘贴平整,不得有凸凹。
3、质量标准。
(1)、隔断玻璃:.;平直度<3mm/2m。
(2)、隔断边框:垂直偏差<2mm/2m;平直度<3mm/2m。
五、地面保温
1、工艺流程:
清扫+铺设地面保温层设面层+放线+开孔+清扫。
2、施工工艺:
(1)、放线:在要铺设架高地板。
(2)、地面刷胶,铺满20mm厚橡塑保温海绵,确保粘结牢固。
(3)、橡塑海绵粘接缝处,用密封带进行密封处理,防止起尘。
(4)、橡塑海绵上用0.5mm厚镀锌铁板粘贴,接缝处做压接工艺处理,避免保温效果下降。
(5)、放线:根据施工图纸,在镀锌铁板的表面上弹出地板支架的位置线,弹线应清楚,位置应准确。
(6)、用开孔器在地板支架位置,按照支架的底盘直径开孔(尺寸比支架底盘大2~5mm)。对开孔所产生的施工垃圾应及时清理。
六、活动地板铺设
1、工艺流程:
地面施工→放线→地面除尘→安装柱脚→调平→安装地板→分项验收。
2、施工工艺:
(1)、放线:在要铺设架高地板的地面上,根据架高地板的排板图和现场的轴线位置,放出架高地板的地面分格线。
(2)、基层修补:在排板横竖线交叉位置,即安装底座(支撑脚座)的位置处,为达到满意的支撑效果,可将底层地板磨平或进行填补。
(3)、基层清理:地面除尘,在开始安装前,用真空吸尘器将底层地面上的所有灰尘、土和施工碎片,全部清除干净。
(4)、安装支承脚:用粘接剂抹在支撑杆的底座上,并用锚固螺栓将地板支撑脚牢固的安装在底层地板上。
(5)、调整支撑脚标高:根据地面标高情况,调整支撑脚的高度,采用拧螺纹、套等部分进行升高或降低,达到标高要求。
(6)、防静电地板安装:在板面组装四周要画线,使其连接适配,板面与垂直面相接处的缝隙不大于3mm。用便携式抬高器具铺设面板,随安随用真空吸尘器全面清理(包括所安面板、支座的背正面)半块板的切割不要在正在施工的房间。
(7)、清理和饰面保护:铺设后的地面,用真空吸尘器全面清扫,然后报验收,经检查合格后,用塑料布覆盖严密,防止灰尘的进人和被其他施工人员破坏。
三、机房装修图
为了方大家更形象的了解机房装修,下面我们罗列的一些机房装修示意图,我们一起可以看下。
1、机房局部装饰示意图

2、踢角线立面图

3、机房接地图


4、机房地板下样图

5、机房玻璃隔断大样图

6、架空地板剖面

7、抗静电地板铺设平面图

8、台阶剖面图

9、微孔铝板龙骨节点图

10、顶部沿墙剖面图

11、微孔铝板大样图

12、吊杆大样图

13、顶部龙骨节点安装图

14、机房地板下桥架管线示意图

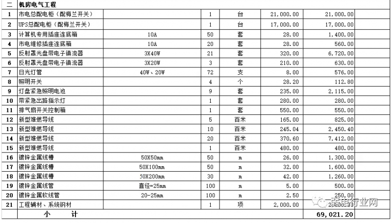
机房建设装修清单
不少朋友对于机房装修建设清单的内容不了解,这里面有个案例,方案大家可以参考。












